近期,在多项国家自然科学基金项目和陕西省高层次人才特殊支持计划项目资助下,陕西省通信专用集成电路设计工程技术研究中心在高灵敏传感检测方面取得重要研究进展,并在国际高水平期刊《IEEE Transactions on Instrumentation and Measurement》发表了题为“Enhancing the measurement sensitivity and repeatability of Electrolyte-Insulator Semiconductor capacitor sensor with impedance conversion”的最新研究成果。
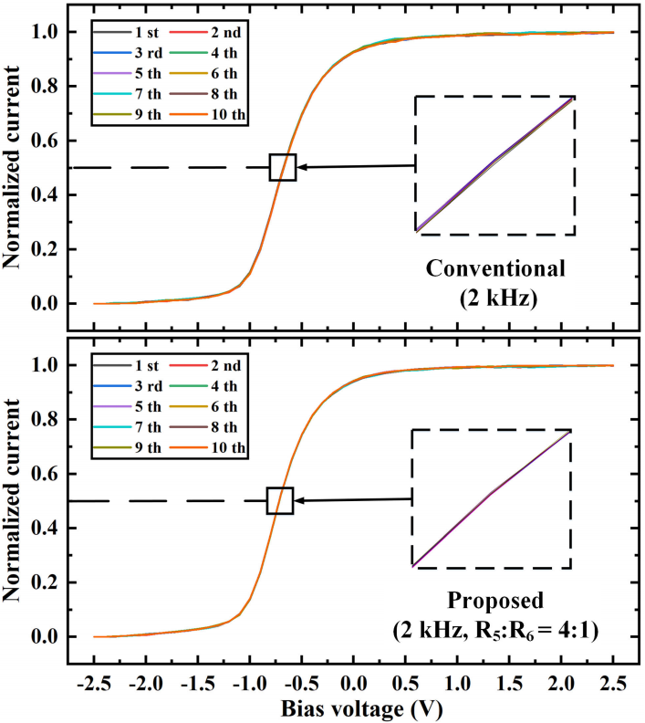
研究工作由佟星元教授和陈东副教授联合指导研究生郝政完成,第一作者为陈东副教授。论文提出了基于阻抗变换技术提升EISCAP传感系统灵敏度的检测思路,通过在跨阻放大前端插入阻抗变换电路,有效提高了传感器电容,并抑制了待检溶液和参比电极的阻抗波动,显著提升了检测系统的稳定性以及检测结果的可重复性。相关研究结果为生物化学检测提供重要参考。

论文链接:https://ieeexplore.ieee.org/document/10050521。
IEEE TIM是极具影响力的IEEE期刊,是仪器仪表、电子与电气测量领域的国际顶级期刊,根据最新影响因子和CiteScore排名,该期刊在仪器测量领域排名第1,具有重要而广泛的影响力。
近年来,陕西省通信专用集成电路设计工程技术研究中心依托welcome欧洲杯官网,围绕集成电路重点产业链发展需求和前沿科学问题开展研究,科研创新能力持续提升。接下来中心将围绕重大战略研究和战略需求,争取获得更多高水平标志性成果,助力学校学科建设和科学研究高质量发展。
通讯员:陈东